Is Vitamin C An Acid Or A Base

Determination Of Ascorbic Acid In Vitamin C Tables By Acid

is vitamin c an acid or a base is a free HD wallpaper sourced from all website in the world. Download this image for free in HD resolution the choice "download button" below. If you do not find the exact resolution you are looking for, then go for a native or higher resolution.

Don't forget to bookmark is vitamin c an acid or a base using Ctrl + D (PC) or Command + D (macos). If you are using mobile phone, you could also use menu drawer from browser. Whether it's Windows, Mac, iOs or Android, you will be able to download the images using download button.

Determination Of Ascorbic Acid In Vitamin C Tables By Acid

Which Is The Most Acidic Hydrogen In Vitamin C Chemistry

Vitamin C Metabolism Ascorbic Acid Participates Both In

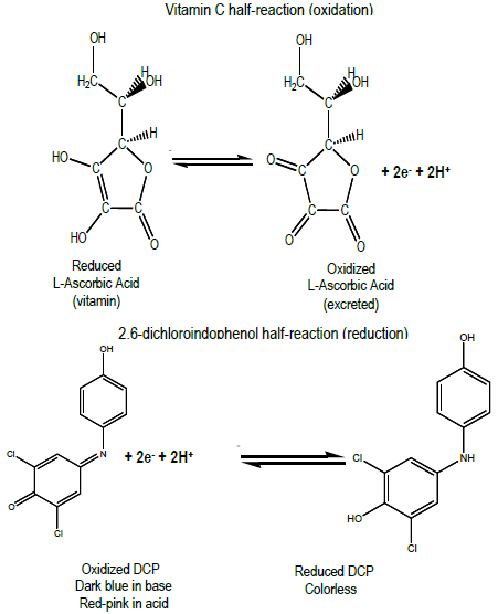
Lab 14 Determination Of Amount Of Vitamin C In A

Factors That Determine Acid Strength Mcc Organic Chemistry

Determination Of Ascorbic Acid In Vitamin C Tables By Acid

Which Is The Most Acidic Hydrogen In Vitamin C Chemistry

Vitamin C

Ascorbic Acid Hc6h7o6 Pubchem

Acids And Bases Acids And And Bases Bases Acid And Bases

Solved The Amount Of Ascorbic Acid Vitamin C C6h8o6 In


ViewCloseComment