Retinoic acid ra and the hormonal form of vitamin d3 125 dihydroxyvitamin d 3. Retinoic acid is a member of the over 4000 strong family of retinoids which are compounds derived from retinol or vitamin a or compounds structurally similar to it.
vitamin a retinoic acid is free HD wallpaper was upload by Admin. Download this image for free in HD resolution the choice "download button" below. If you do not find the exact resolution you are looking for, then go for a native or higher resolution.
Don't forget to bookmark vitamin a retinoic acid using Ctrl + D (PC) or Command + D (macos). If you are using mobile phone, you could also use menu drawer from browser. Whether it's Windows, Mac, iOs or Android, you will be able to download the images using download button.
Your body can turn the vitamin a precursor beta carotene found in fruits and vegetables into retinol.
Vitamin a retinoic acid. Interest in vitamin a as a regulator of immune function goes back to the early 1900s. All trans retinoic acid ra atra is a pleiotropic activation factor that regulates genes associated with normal vertebrate. Excipient information presented when available limited.
Retinoic acid and gene expression. Recently several lines of evidence have converged to show that. 125d 3 signal through related nuclear receptors chawla.
View information documentation regarding retinoic acid including cas msds more. Retinoic acid ra is a metabolite of vitamin a retinol and a morphogen governing cell differentiation and embryonic patterning in early developmental stages 5051. Tret i noyn index terms.
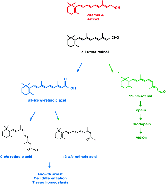
Retinoic acid used simplified here for all trans retinoic acid is a metabolite of vitamin a 1 all trans retinol that mediates the functions of vitamin a 1. Vitamin a is a group of unsaturated nutritional organic compounds that includes retinol retinal retinoic acid and several provitamin a carotenoids most notably. Sigma aldrich offers a number of retinoic acid products.
Any vitamin a rich food can provide you with some retinoic acid.
Forms Of Vitamin A Retinol Dehydroretinol Retinal And Retinoic Acid Molecular Formulas Stock Vector Image
Vitamin A Retinoic Acid Signaling Regulates Hematopoietic
Formation Of All Trans Retinoic Acid From Vitamin A And
Isoprenoids 2 Isoprenoids 2 Retinoids Vitamin A
Prenatal Vitamin A Essential For Offspring Immune Health
Jdb Free Full Text Checking The Pulse Of Vitamin A
Conversion Of Retinal Vitamin A To Its Corresponding
Retinoic Acid Structure Form Of Vitamin A Molecule 2d Vector
Vitamin A Retinoids Precursors Of Vitamin A Retin O L 1
The Importance Of Real Vitamin A Retinol Selfhacked
Metabolism Of Vitamin A Retinol To All Trans Retinoic
Vitamin A Retinoic Acid Tretinoin Pure
12 6 Vitamin A Nutrition Flexbook
Vitamin A Linus Pauling Institute Oregon State University
Retinoid Metabolism A Balancing Act Nature Genetics
12 6 Vitamin A Nutrition Flexbook
Retinoic Acid And Hox Gene Regulation
Solved Retinoic Acid Ra Is A Molecule Derived From Vita
Retinol Chemistry Encyclopedia Structure Examples
Retinoic Acid Is A Metabolite Of Vitamin A Retinol
Frontiers Vitamin Mediated Regulation Of Intestinal
Alitretinoin 9 Cis Retinoic Acid Cancer And Eczema Drug Molecule
Molecular Pathways Current Role And Future Directions Of
Metabolism Of Vitamin A Retinoic Acid Stock Image And
Figure 6 From The Negative Side Of Retinoic Acid Receptors
Pure Vitamin A Acid Tretinoin Retinoic Acid Buy Pure Vitamin A Acid Tretinoin Retinoic Acid Pure Vitamin A Acid Tretinoin Retinoic Acid
Plos One Retinoid Homeostatic Gene Expression In Liver
Vitamin A Linus Pauling Institute Oregon State University
Ijms Free Full Text The Pleiotropic Role Of Retinoic
Pdf Role Of Vitamin A Retinoic Acid In Regulation Of
Retinol Retinoids Retinoic Acid What S The Difference
Retinoic Acid Signalling During Development Development
The Multifaceted Nature Of Retinoid Transport And Metabolism
Retinoic Acid Metabolite Vitamin Retinol That Stock Vector
Plos One Retinoid Homeostatic Gene Expression In Liver
Retinoic Acid Synthesis And Functions In Early Embryonic
Qiagen Geneglobe Pathways Nuclear Receptor Activation By
The Importance Of Real Vitamin A Retinol Selfhacked
Retinoids Bypass Broken Vitamin A Metabolism Good Acne
Retinoic Acid Structural Chemical Formula Clip Art
The Role Of Retinoic Acid In Tolerance And Immunity
Vitamin A Friend Or Foe Nutri Link
Fat Soluble Vitamins Vitamin A Vitamin E Vitamin D Vitamin K
Frontiers Retinoid Receptors In Bone And Their Role In
12 6c Vitamin A Nuclear Receptors Medicine Libretexts
Solved Question 9 2 Pts Which Of The Following Is The Bio
Retinol Vs Retinoid Is There A Difference Skincare
Retinal Pigment Epithelium Retinol Vitamin A Retinoic Acid
Fat Soluble Vitamins By Dr P Ravisankar
Figure 1 Vitamin D Activity And Colorectal Neoplasia A
Alterations In Vitamin A Retinoic Acid Homeostasis In Diet
Vitacid Vitamin A Retinoic Acid 0 025 0 1 Tretinoin Cream Solution 20g
Vitamin A Retinoic Acid 98 Cnlab Nutrition
Plos One Retinoid Homeostatic Gene Expression In Liver
Figure 1 From Vitamin A And Retinoid Signaling Genomic And
Vitamin A And Retinoic Acid American Chemical Society
Vitamin A Tolerance Extends Longevity Longevity Medicine
Retinoic Acid Is A Metabolite Of Vitamin A Retinol
Essential Vitamins For An Effective T Cell Response
Retinoic Acid Is A Metabolite Of Vitamin A Retinol
Modulation Of Resistin Expression By Retinoic Acid And
Rbcp All Trans Retinoic Acid Injectable In The Treatment
Mechanisms Of Retinoic Acid Signaling During Cardiogenesis
Vitamin A And Metabolites Pathway Suite
Vc40 15 Ml Vitamin C 40 In 5 Retinoic Acid Professional Strength Serum
History Of Retinoic Acid Receptors Springerlink
Vitamin A Metabolism This Diagram Represents Vitamin A
Vitamin A A Review Scialert Responsive Version
Retinaldehyde More Than Meets The Eye Nature Medicine
Introductory Chapter A Global Perspective On Vitamin A
Activation Of Retinoic Acid Receptors By Dihydroretinoids
Porcine Intestinal Metabolism Of Excess Vitamin A Differs
Vitamin A Acetate Powder 500 Vitamin A Acid Retinoic Acid Feed Grade Retinol Powder Vitamin A 500 1000 Vitamin A For Sale Buy Vitamin A Vitamin A
Vitamin A Tolerance Extends Longevity Longevity Medicine
Modulation Of Dendritic Cell Alternative Activation And
Potential Therapeutic Roles Of Retinoids For Prevention Of
Vitamin A Retinol Retinoid And Carotenoid Labpedia Net
Essential Vitamins For An Effective T Cell Response
What Does Vad Ras Mean Definition Of Vad Ras Vad Ras
Vitamin A And The Eye An Old Tale For Modern Times
Retinoic Acid And Hind Brain Development Ecetoc
Stra6 Role In Cellular Retinol Uptake And Efflux Kelly
Lecithin Retinol Acyltransferase From Mouse And Rat Liver
Vitamin A Vitamin A Introduction Vitamin A Is The Name Of A
Tretinoin Cas 302 79 4 Chemsrc
Universitat De Barcelona Researchers Find The Ancestral




